首页 > 通讯电缆

[网络线缆] 网线阻抗有尖峰是哪里的问题

P:2025-01-21 10:45:26

1

悬赏贴
总赏金50金币,剩余50金币

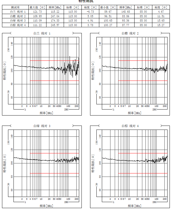
有时候小节距有尖峰,大节距没有尖峰,有没有大神科普下,如何解决问题


stranding head - 绞合头,绞制头 (0) 投诉

P:2025-01-21 12:05:14

2

接线柱头处的节距有没有处理好?

fiber beat length - 光纤拍长 (0) 投诉

P:2025-01-22 10:23:19

3

zwx8888888:

接线柱头处的节距有没有处理好?

这个处理好了,测试的时候换对测一样的情况

open-air end erminal - 敞开式终端,敞开式电缆终端 (0) 投诉

P:2025-01-23 08:43:45

4

一般是绞和过程有问题

RZ - Return to zero归零码<数字传输的一种码型> (0) 投诉

P:2025-01-23 09:02:55

5

mrwjc:

一般是绞和过程有问题

绞合有问题的话,那大节距没啥问题,都是一个串联机做的

pitting corrosion temperature - 孔蚀温度,坑蚀温度 (0) 投诉

P:2025-01-23 15:33:25

6

单独这一对有尖峰问题,去看看这一对的线在对绞的过程中是否有刮伤现象

high molecular compound - 高分子化合物 (0) 投诉

P:2025-01-24 08:13:38

7

panxingkui:

单独这一对有尖峰问题,去看看这一对的线在对绞的过程中是否有刮伤现象

机器做这一批线,小节距有问题,大节距没尖峰,对绞也不是一台机器对的

unloading of reel - 下盘 (0) 投诉

P:2025-02-05 11:28:06

8

请问一下白蓝绞距是多少,谢谢

propagation coefficient - 传播系数 (0) 投诉

P:2025-02-05 14:53:42

9

应该是金东的串联线

shield - 屏蔽,屏蔽层 (0) 投诉

P:2025-02-05 16:19:03

10

sa571328:

请问一下白蓝绞距是多少,谢谢


10.3

gas equation - 气体方程式 (0) 投诉

P:2025-02-05 16:19:19

11

游客:

应该是金东的串联线


这个有设备的问题吗

TAT - Transatlantic Telephone Cable横越大西洋电话电缆 (0) 投诉

P:2025-02-05 16:24:35

12

我发了信息给你,请查看,谢谢

ISO - International Standards Organization;International Organization for Standardization国际标准化组织[机构] (0) 投诉

P:2025-02-08 08:33:05

13

这种频域阻抗测量基于什么测试方法?

polarization preserving optical fiber - 保偏光纤 (0) 投诉

P:2025-02-10 08:15:55

14

退扭多少?

disconnection - 断线 (0) 投诉

P:2025-02-12 15:46:26

15

416013943:

退扭多少?

30

cockle breakage - 皱纹开裂,皱裂,皱裂金属带 (0) 投诉

19


你需要登录才能发表,点击登录